KBO 구단 간의 천적 관계는 실존할까? [IS 서포터즈]

실시간 키워드

2022.08.01 00:00 기준

KBO 구단 간의 천적 관계는 실존할까? [IS 서포터즈]

일간스포츠 2026-04-16 16:31:06 신고

3줄요약
프로야구 구단 간 천적관계는 실존하는가. 그래픽=일간스포츠 서포터즈 1기 김가현.
<편집자 주> 본 기사는 일간스포츠 대학생 서포터즈가 기획부터 기사 작성까지 전 과정에 참여해 완성한 텍스트 콘텐츠입니다. 대학생 청년의 시선으로 스포츠 현장을 바라보았으며, 편집 과정을 거쳐 게재됐습니다. 이 외에도 일간스포츠 서포터즈가 기획 및 제작한 카드뉴스와 영상 콘텐츠는 일간스포츠 공식 SNS(소셜미디어)에서 확인할 수 있습니다.

■ 체감은 강하지만 증명은 어려운 '상성'

2024년 LG 트윈스의 상대전적. 스탯티즈 갈무리.
야구 팬이라면 누구나 '천적'이라는 말을 한다. 특정 팀만 상대하면 유독 흔들리는 느낌, 특정 상대에게만 번번이 무너지는 장면은 기억에 강하게 남기 마련이다. 실제로 시즌 중 특정 상대전적이 2승 14패 같은 극단값이 찍히면, 상성은 체감이 아니라 거의 사실처럼 느껴진다.

그런데 여기에는 결정적인 문제가 있다. 상대전적 그 자체는 전력 차이와 시즌 환경을 섞어서 보여준다. 강팀이 약팀을 상대로 많이 이기는 것은 상성이 아니라 자연스러운 결과다. 반대로 약팀이 강팀을 상대로 한 시즌 크게 밀렸다고 해서, 그게 매년 반복되는 구조적 상성인지도 불명확하다.

그래서 질문을 이렇게 바꿔봐도 좋을 법하다.

"전력과 시즌 효과를 통제한 뒤에도, 특정 팀이 특정 상대에게 반복적으로 기대 이하의 성적을 기록하는가."

이 질문에 답하기 위해, 최근 다섯 시즌 데이터(2021~2025)를 사용해 Log5 기대승률로 전력을 통제하고, 기대 대비 실제 성적 편차(Δ)를 만든 후, 전 구단에 대해 회귀분석과 시각화를 수행해보았다.

■ 데이터 수집

2021~2025시즌에 참가한 KBO 10개 구단의 승률과 모든 상대전적에 관한 데이터를 수집했다. 아래는 수집한 데이터 일부이다.


■ 데이터 전처리 - 전력을 통제하기 위한 'Log5 기대승률'

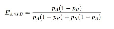
단순 상대전적(실제 승률)만 보면 '상성'처럼 보이는 사례가 너무 많이 생긴다. 그래서 먼저 "그 팀이 그 상대를 만나면 원래 어느 정도 이길 전력인가"를 계산해야 한다. 여기서 사용한 것이 Log5다. Log5는 두 팀이 각각 평균적인 팀을 상대로 거둔 성적이 아니라, 서로를 상대로 붙는다면 어느 쪽이 얼마나 이길지를 다시 계산하는 것이다. 즉 두 팀의 승률을 상대 전력을 고려해 재조정하는 과정이라고 이해하면 편하다.

Log5로 계산한 팀 A의 기대승률은 아래와 같다.

직관적으로는 A팀이 강하고 B팀이 약하면 E(기대승률)가 커지고, A팀이 약하고 B팀이 강하면 E(기대승률)가 작아진다. 해당 기대승률은 단순 평균보다 '강약 차'를 더 자연스럽게 반영한다는 장점이 있다. 이 기대승률을 기준선으로 놓고, 실제 맞대결 승률이 이 기준선보다 낮았는지(=기대 대비 약했는지)를 Δ로 만든다.

Δ < 0: 전력 대비 기대 이하(상대적으로 약세)
Δ > 0: 전력 대비 기대 이상(상대적으로 강세)

■ 회귀분석: 통계적으로 유의한 상성 매치업이 존재할까?

상성이라는 말을 데이터로 정의하면 다음과 같다. "전력과 시즌 효과를 통제했는데도, 특정 상대에게 Δ가 지속적으로 음수로 치우치는 효과가 존재한다." 이를 회귀로 검정하기 위해 종속변수를 Δ로, 설명변수를 상대팀 더미(teamB) + 시즌 더미(year)로 두었다. 5개년의 평균을 통해 구조적 상성을 보고자 했기 때문에 총 90개 쌍에 대해 회귀분석을 실시했다. (10x9)

그 결과 전체 90개 방향성 매치업 중 유의한 상성 쌍은 0개였다. 즉 전력과 시즌 효과를 통제했을 때 통계적으로 유의한 상성은 한 쌍도 남지 않았다는 것이다. 이는 일반적으로 우리가 부르는 '천적 관계'가 일반 법칙처럼 존재한다는 가설을 강하게 기각하는 증거가 된다.

본 분석에서는 추정된 상대팀 효과(estimate)가 음수이고, p-value가 0.05 미만인 경우를 모두 만족하는 경우만 ‘유의한 상성’으로 정의했다. 이 기준은 상성을 다소 보수적으로 정의한 것인데, 단순히 ‘기대보다 조금 못했다’는 이유만으로 상성으로 정의하지 않기 위함이다. 일부 매치업에서는 평균 Δ가 음수로 나타났지만, 그 차이가 표본 변동성을 넘어설 만큼 크거나 반복적이지는 않았다.
■ 평균 Δ 히트맵을 통한 시각화

전력(Log5) 기준으로 예상된 승률과 비교해 실제 성적이 얼마나 달랐는지(Δ)를 5개 시즌 평균으로 요약하기 위해 히트맵을 그려보았다. 시각화 결과는 다음과 같았다.

히트맵 각 칸의 색상은 평균 Δ (실제 승률 − Log5 기대 승률)을 나타내며 색이 밝을수록 기대보다 잘한 거고, 색이 어두울수록 기대보다 못했다고 판단할 수 있다. 예를 들어 KIA(teamA)-두산(teamB) 칸의 색이 상대적으로 어두운데, 이는 KIA가 다섯 해 동안 두산을 상대로 기대승률에 못미치는 성적을 냈음을 의미한다. 

물론 '승률 차이'보다 '몇 경기 차이'가 더 직관적이다. KBO는 한 시즌 맞대결이 16경기이므로 대략 이렇게 환산할 수 있다.

Δ = -0.05 → 기대 대비 약 0.8승 덜 함(16×0.05)
Δ = +0.05 → 기대 대비 약 0.8승 더 함
Δ = -0.10 → 기대 대비 약 1.6승 덜 함

히트맵에서 주목할 부분은 대부분의 칸이 대체로 ±0.05 안팎에 머무른다는 점이다. 즉, 각 팀의 맞대결이 '천적'과 같이 일방적인 구조라기보다는 기대 대비 1승 안팎의 미세한 편차가 여러 조합에 흩어져 있는 형태라는 것을 알 수 있다.

다만 히트맵에서 뚜렷하게 색이 진한 몇몇 칸들이 눈에 띄었기 때문에, 이러한 상성이 의심되는 칸들에 대해서만 연도별 시계열 분석을 해보았다. 이는 Δ가 다섯 해 동안 어떻게 변화했는지 봄으로써 ‘연도 간 약세의 반복성’이 실제로 나타나는지 점검하기 위한 거다. 

색이 가장 진했던 5개 매치업에 대한 시계열 분석의 해석은 다음과 같다.

1. KIA vs 두산
일부 시즌(예: 2022–2024)에서 큰 음수 Δ가 관측되지만, 다른 시즌에서는 Δ가 0에 가깝거나 양수로 반등한다.즉, 특정 기간 기아의 두산전 부진은 존재하지만 매년 반복되지는 않는다.

2. KT vs 한화
2022년에는 큰 음수 Δ로 고전했으나, 이후 시즌에서는 Δ가 빠르게 회복되며 기대 수준으로 돌아온다. 이는 단일 시즌의 극단값이 평균을 끌어내렸을 가능성을 시사한다. (2022년 KT–한화전은 표면적인 상대전적만 보면 8승 8패로 평범해 보이지만, 해당 시즌 KT와 한화의 전력 차이를 Log5로 반영하면 KT는 훨씬 높은 승률(0.73)이 기대되던 구도였기에 Δ가 크게 음수로 나타난다.)

3. LG vs KIA
2023–2024년 연속으로 음수 Δ가 나타나 한때 상성처럼 보일 수 있으나, 2025년에는 Δ가 뚜렷한 양수로 전환된다. 결과적으로 LG가 기아에게 일관된 약세를 보인다고 하기에는 연속성이 부족하다.

4~5. SSG vs KT / SSG vs NC
특정 시즌에 급격한 음수 Δ가 관측되지만, 이후 시즌에서 빠른 반등 또는 양수 전환이 나타난다. 이는 상성이 아니라 시즌별 변동성에 가까운 패턴이다.

이 다섯 개 매치업은 평균 Δ 기준으로 보면 상대적으로 불리했던 조합에 속한다. 그럼에도 불구하고, 어느 매치업도 모든 시즌에서 Δ < 0을 유지하지 않았고 Δ의 방향은 시즌마다 크게 바뀌었다. 즉, 평균적으로는 고전한 매치업이었을 수 있으나, 그 고전이 연도 간에 안정적으로 반복되는 구조라고 보기는 어렵다. 이 점이 바로 회귀분석에서 유의한 상성 쌍이 0개로 나타난 이유와 정확히 연결된다.

■ 상성은 아니지만 상대적으로 불리한 매치업

아래 시각화 자료는 팀별 기대 대비 가장 약한 상대 TOP3를 나타낸 것으로, 이전에 언급한 히트맵 결과는 정리한 것이라고 보면 된다. 이때 그래프 좌측 매치업 이름에서 왼쪽에 적힌 팀이 상대적으로 약세라고 해석할 수 있다.

하지만 해석 시 유의할 점은 팀마다 '기대 대비 특히 성과가 덜 났던 상대'는 존재하지만, 그 불리함은 대부분 -0.10 내외의 제한된 규모일 뿐더러 시계열 분석 때 확인했던 것처럼 그 불리함이 매년 고정되지 않기 때문에 통계적으로 유의한 상성은 남지 않는다는 것이다.

Δ = -0.10는 시즌당 약 1.6승 덜 이긴 것으로, 대부분은 시즌당 1승 안팎 규모의 편차를 보였다.
■ 결론

상성은 일반 법칙이 아니다. 하지만 이것이 야구를 더 재미있게 만든다.

위 분석에서 전력(Log5)과 시즌 효과를 통제하면, 전 구단 90개 방향성 매치업에서 통계적으로 유의한 상성은 0개(0%)였다. 즉, 상성은 리그 전반에 널리 존재하는 구조적 법칙이라기보다는, 일부 기간에 나타난 편차나 극단값이 만들어낸 체감에 가깝다. 

왜 이러한 체감이 데이터로 입증되지 않는 지에 대해서는 다양한 원인이 있을 것이다. 우선 한 시즌 맞대결의 수인 16경기는 결코 큰 표본이 아니며, 어느 해에 극단적인 승률을 기록했더라도 5개년 평균으로 이것이 상쇄될 수도 있다. 또 강팀이 약팀을 많이 이기는 것은 예상 범위이기 때문에 이런 예상 범위를 빼고도 남는 편차가 꾸준히 커야 하는데, KBO에서는 이 경우가 거의 없었다. 

그럼에도 불구하고 팀별 TOP3 그래프가 보여주듯, 상대적으로 불리했던 조합은 존재하며, 이는 천적 관계가 아니라 "기대 대비 성과가 덜 난 매치업"으로 보수적으로 표현하는 게 적절하다. 

이 결론은 오히려 야구라는 스포츠를 더욱 흥미롭게 만든다. 상성이 강하게 굳어져 있었다면 경기는 예측 가능한 서사로 흘러가겠지만, 실제로는 전력을 통제했을 때에도 특정 팀이 어느 팀에게 일관되게 약세를 보이는 구조는 드물었다. 이러한 변동성과 우연이 만들어내는 특별한 결과들은 우리가 매해 다른 시나리오를 상상하며 야구를 보는 이유이며, 야구를 더욱 재미있게 만드는 요인이 된다.

일간스포츠 서포터즈 1기 김가현

Copyright ⓒ 일간스포츠 무단 전재 및 재배포 금지

본 콘텐츠는 뉴스픽 파트너스에서 공유된 콘텐츠입니다.

다음 내용이 궁금하다면?
광고 보고 계속 읽기
원치 않을 경우 뒤로가기를 눌러주세요

실시간 키워드

  1. -
  2. -
  3. -
  4. -
  5. -
  6. -
  7. -
  8. -
  9. -
  10. -

0000.00.00 00:00 기준

이 시각 주요뉴스

알림 문구가 한줄로 들어가는 영역입니다

신고하기

작성 아이디가 들어갑니다

내용 내용이 최대 두 줄로 노출됩니다

신고 사유를 선택하세요

이 이야기를
공유하세요

이 콘텐츠를 공유하세요.

콘텐츠 공유하고 수익 받는 방법이 궁금하다면👋>
주소가 복사되었습니다.
유튜브로 이동하여 공유해 주세요.
유튜브 활용 방법 알아보기