"수학은 농업, 수학자는 농부" 대수기하학자가 사랑한 수학

실시간 키워드

2022.08.01 00:00 기준

"수학은 농업, 수학자는 농부" 대수기하학자가 사랑한 수학

프레시안 2026-01-31 20:01:13 신고

3줄요약

대수와 기하는 안다. 대수는 고등학교 수학 시간에 배운 방정식 풀이였다. 기하는 삼각형, 사각형, 원, 구와 같은 도형과 공간의 성질을 연구한다. 그런데 대수와 기하가 만난 대수기하학은 뭘까? 최인송 건국대학교 수학과 교수는 대수기하학자다. 그는 지난해 10월 대한수학회가 주는 '국내논문상'을 받았다. 수상 논문을 찾아봤다. 제목에 '랭크(rank)', '직교 다발'과 같은 낯선 단어가 들어가 있다. 지난 1월 13일 눈이 왔고, 호수에 얼음이 언 건국대 교정을 걸어 과학관 3층으로 찾아갔다. 최 교수가 만들어준 따뜻한 커피를 앞에 놓고 질문을 시작했다.

최인송 교수는 서울대 수학과 92학번이고, 서울대 대학원에서 진학, 박사학위를 2003년에 받았다. 2008년 3월부터 건국대학교 수학과 교수로 일하고 있다.

▲최인송 건국대 수학과 교수 ⓒ성유숙

대수기하학이란

최인송 교수는 "대수기하학자는 곡선, 곡면과 같은 곡면다양체를 연구한다"라고 말했다. 다항방정식의 해들을 모아놓은 집합은 곡선, 곡면과 같은 곡면다양체를 이루며, 이걸 연구하는 게 대수기하학이다. 그는 "이런 기하학적인 대상들 위의 벡터 다발을 공부하는 사람들이 있다"면서 "그러니까 곡선, 곡면, 또는 곡면다양체 위의 벡터 다발(Vector bundle)을 연구한다. 이들의 성질을 알아내서 성질에 따라 그들을 분류하는 게 대수기하학자가 하는 일이다"라고 말했다.(*벡터다발이 무엇인지는 나중에 살펴보자)

최 교수는 대수기하학의 출발 시점에 대해 "18세기에 있었던 소위 타원 곡선의 발견이 대수기하학의 본격적인 시작"이라고 말했다. 타원곡선은 뭐였지? 그가 1차 방정식과 2차 방정식을 생각해 보자고 했다. y=2x와 같은 1차방정식을 만족하는 해집합(x, y)은 좌표계에서 직선으로 나온다. 또 2차방정식의 해집합은 원, 타원, 포물선 모양이다. 이건 방정식 해들을 실수(real number) 범위에서 찾을 때 얘기다. 실수보다 더 큰 수 체계인 복소수(complex number)가 있다. 복소수에서 해 집합을 찾으면 얘기가 달라진다. 최 교수는 "대수기하학자는 복소수 위에서 생각하며, 식 자체는 타원이나 포물선과 같은 식인데, 복소수에서 바라보면 해집합이 구(sphere)가 된다. 1차방정식이나 2차방정식이나 구가 나온다"라고 말했다. 최 교수는 이어 "거기까지는 수학자들이 일찍 알았다. 새로운 현상이 등장한 건 3차식이다"라고 말했다.

3차식과 타원 곡선

최인송 교수가 y²=f(x)라며 구체적인 방정식 예를 들었다. 나는 들고 간 패드에 식을 써달라고 했다. 수식이 열 말보다 나을 때가 있기 때문이다. 최 교수가 쓴 수식은 y²=x³-1이다. 3차 방정식이다. 이때 해를 복소수 범위에서 구해 보면, 복소수 해(x, y)의 개수가 무한히 많다. 그 해들을 좌표계에 표시해 보면, 해 집합 모양이 도넛, 즉 토러스 구조다.(이미지 참고) 토러스는 구멍(genus)을 갖고 있다.

▲토러스 구조의 예

최 교수는 "그러면 1, 2차식에서 한 가지 수학만 가능한 데 비해 3차식에서의 수학은 얼마나 많을까를 생각해 볼 수 있다"라며 "서로 같은 것도 있고, 다른 것도 있다. 다른 게 1차원만큼이나 있다. 무한히 많다"라고 말했다. 그는 이어 "이런 건 19세기 독일 수학자 베른하르트 리만이 얘기했던 것이고, 리만이 그 수학을 다 하지는 않았고, 큰 그림을 봤다. 이후 수학자들이 디테일을 메꿔가고 있다"라고 말했다. 리만이 정립한 리만곡면 이론은 현대 대수기하학 형성에 결정적인 기여를 했다.

리만 이후의 대수기하학 발전

19세기 후반과 20세기 초반 이탈리아 수학자들이 대수기하학을 발전시켰다. 직관적으로 이해했고, 코라도 세그레 (Corrado Segre)가 그런 작업을 한 사람 중 한 명이다. "이후 세대들이 대수기하학을 엄밀하게 하는 작업들을 했다"라고 최인송 교수는 설명했다.

1970년대 대수기하학자가 수학의 노벨상이라고 하는 '필즈상'을 많이 받았다. 일본인이 많았다. 허준이 교수(2022년 필즈상 수상)가 서울대학교에서 배운 히로나카 헤이스케 교수가 1970년 필즈상을 받았고, 1990년 필즈상은 모리 시게후미 교수(교토대학교)가 받았다. 이들에 앞서서는 고다이라 구니히코(도쿄대학교) 교수가 1954년에 받았다. 허준이 교수도 대수기하학자다. 최인송 교수는 "대수기하학을 공부한 허 교수가 조합론에 관심을 갖게 되어 대수기하학과 조합론 사이에 다리를 놓았다. 이 연구가 허 교수의 필즈상 수상 업적이라고 나는 이해하고 있다"라고 설명했다.

한국의 대수기하학자들

최인송 교수는 석사-박사 때 대수기하학자인 황준묵 교수(IBS 단장), 김영훈 교수(고등과학원)로부터 배웠다. 석사 때는 황준묵 교수 지도를 받았고, 박사 때는 황 교수가 고등과학원으로 가는 바람에 황 교수를 찾아 고등과학원을 왔다갔다 해야 했다. 그렇게 연구하던 중 김영훈 교수가 서울대에 왔다. 김영훈 교수가 벡터 다발 연구자다. 이때 벡터 다발과 최 교수는 만나게 되었다.

최 교수는 "세계적으로 1980년대, 90년대 대수기하학 연구가 활발했다. 내가 대학원 공부하던 1990년대 미국 유학을 하고 돌아와 활발히 연구하던 분들 중에 대수기하학자가 많았다"라고 말했다. 김창호 서울대 교수(곡선론)가 가장 초기의 연구자이고, 금종해 고등과학원 교수, 작고한 김범식 고등과학원 교수, 황준묵 IBS 단장이 대수기하학자다. 김범식 교수에 대해 언급하면서 최 교수가 연구실 출입문 안쪽에 붙어 있는 포스터를 가리켰다. 학회 안내 포스터인데, 김범식 교수 추모 학회다. 학회는 사망 다음해인 2022년 9월에 열렸다. 최 교수는 "거울대칭이론의 세계적인 권위자인데, 너무 일찍 돌아가셨다"라고 말했다. 김범식 교수는 50대 초반인 2021년에 심근경색으로 사망했다.

3차방정식의 해집합이 만드는 곡선은 어떻게 생겼나

최인송 교수는 앞에서 3차방정식 해집합에서 전혀 새로운 현상이 나타난다고 말한 바 있다. 그는 "이게 대수기하학에서 중요한 전환점이다"라고 말했다. 질적으로 다르다는 게 뭘까? 그가 새로운 현상 한 가지를 설명해주겠다고 했다. 수학에 동형사상(isomorphism)이라는 개념이 있다. 두 개의 수학적 대상이 겉모습은 다르지만, 그 내부의 연산과 구조를 완벽하게 보존하면서 일대일 대응을 하는 사상(mapping)이 동형사상이다. 최 교수는 "수학적인 대상들을 성질에 따라 분류하려면 뭐가 같고, 뭐가 다른지를 알아야 한다. 어떤 변수를 변환해서 같아지는 걸 동형이라고 한다면, 1차식으로 주어진 직선, 혹은 2차식으로 주어진 곡선은 복소수 위에서는 적절한 변환이 변수 간 주어지면 서로 변환할 수가 있다"라며 두 줄의 수식을 다음과 같이 썼다.

y=x

x′=3x+4y, y′=x+y

x와 x′, y와 y′의 관계를 정의하는 수식들이다. x′, y′의 관계를 구하면 2x′-7y′=0이 나온다. 2x′-7y′=0은 (x, y)를 (x′, y′)로 변환한 거다. 변환했는데 같다, 고 최 교수가 말했다. "같다는 게 뭐냐"라고 최 교수에게 물었다.

최 교수는 "1대 1 대응하고, 대응시키는 방식이 여기에서는 1차식이다. 그러니 x=y라는 대수방정식에서 할 수 있는 걸 2x′-7y′=0이라는 방정식에서 하는 작업으로 바꿀 수 있다. 두 식은 겉보기에만 다르고, 그 안에 들어 있는 수학은 똑같다는 거다"라고 말했다. 최 교수는 이어 "1차식은 다 바꿀 수 있다. 그게 선형 대수이다. 선형 대수가 얘기하는 건 모든 1차식은 서로 바꿀 수 있다는 거다"라고 말했다. 그는 또 "2차식도 똑같다. 물론 똑같다는 게 무슨 말인지 잘 정해야 된다. 말하자면 거기에서 다루고 있는 어떤 수학적인 내용이 똑같다는 거다"라며 "조금 신기하긴 하다. 2차식은 1차식과 질적으로 다를 것 같은데, 사실은 똑같으니까"라고 말했다.

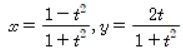
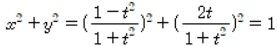
대표적인 2차식은 반지름 길이가 1인 x²+y²=1이다. 이때 x와 y는 t라는 변수로 변환할 수 있다. 예를 들면,

이라고 하자. 그러면 수식은,

이 된다. t라는 하나의 변수로 바꿨다. 이런 걸 '매개화'라고 한다. x, y 변수 두 개였으나, 하나의 변수를 t 하나로 표현할 수 있게 되었다. 변환을 매개한 식이 유리수 식, 즉 유리식이다.

최 교수는 "유리식이기 때문에 어떤 대수적인 성질을 보관하는 함수이고, 이런 걸 유리 매개화라고 한다"라며 "그런데 3차식으로 가면 유리매개화가 불가능하다. 불가능하다는 게 증명됐다. 그러니 여기에서부터 달라지는 거다. 즉, 1차식 또는 2차식으로 정의된 곡선과 3차 곡선은 질적으로 다르다"라고 말했다.

벡터 다발이란 무엇인가?

최인송 교수는 대수기하학에서도 벡터 다발 연구자다. 대수기하학에서 핫한 연구 토픽 중 하나가 벡터 다발이다. 최 교수는 "벡터다발 외에 불변량(예, 그로모프-위튼 불변량), 쌍유리 기하학(Birational Geometry)을 공부하는 사람들도 있다"고 말했다.

최 교수가 2차방정식인 y=x²을 좌표계에 표시한 그래프를 생각해 보라고 했다. y축을 기준으로 대칭인 모양이다. y=x² 그래프 상의 점마다, 수직인 직선을 하나씩 그린다. 수직선이 아니고, 점들 위에 사각형의 평면들을 주욱 올려놓을 수도 있다. 이때 직선, 평면은 벡터 공간이라고 볼 수 있다. 벡터 공간을 이루는 원소들이 벡터다. 벡터는 흔히 크기와 방향을 갖는 수학적인 양이고, 화살표로 표시한다. 최 교수는 "곡선과 같은 다양체 위의 각 점마다 벡터 공간을 하나씩 붙여 놓은 게 벡터 다발"이라고 했다.

왜 이런 일을 하나? 점들 위에 함수를 정의하기 위해서다. 각 점마다 어떤 숫자를 대응시키려고 하는 거다. 이게 사상(mapping)이고, 함수다. y=x²은 2를 4에 대응시키고, 3에는 9를 대응시킨다. 대응시키고 싶으면 그 대응시키는 숫자가 살고 있는 공간을 만들어놔야 한다고 최 교수가 설명했다. 벡터 공간은 수학에서 선형적인 대상이다. 선형적인 대상이라는 건, 벡터들이 특정 연산(덧셈과 스칼라 배)을 하면 '직선 성질'을 유지한다는 뜻이다.

최 교수는 "대부분 수학의 가장 핵심적인 아이디어는 주어진 문제를 어떻게 선형적인 문제로 바꿀 수 있느냐, 하는 그걸 공부하는 거다. 나는 조금 과장하여 표현하면 그게 수학의 거의 유일한 방법이 아닐까 하고 생각한다"라고 말했다. 최 교수는 이어 "쉬운 문제야 주먹구구식으로 풀 수 있으나, 어려운 문제를 푸는 가장 중요한 수학적인 아이디어는 선형화다"라고 강조했다. 예를 들어 미분은 각점에서 접선을 구하는 거다. 접선이란, 주어진 곡선에 가장 가까운 직선이다. 최 교수는 "선형화가 수학의 가장 중요한 아이디어라고 생각해 보면, 벡터 다발을 생각하는 건 굉장히 자연스럽다"라고 말했다. 대상 자체를 선형화 시킨다기보다는 그 대상에 선형적인 대상인 벡터 다발을 붙여서 연구하는 거다.

최 교수는 "벡터 다발을 연구한다는 건, 하나의 대수다양체가 주어져 있다고 할 때, 이 대수 다양체의 다발에 얼마나 많은 구조가 있을까를 보는 거다"라며 다음과 같이 설명을 이어갔다.

"다발과 같은 수학적 대상을 분류하는 건, 수학적 대상들의 성질을 알아내기 위해서다. 1차원 벡터공간을 어떤 식으로 다양하게 붙일 수 있을까? 두 개 이상의 서로 다른 종류의 벡터 다발 구조가 있는지에 관심을 가지는 거다. 또 두 개의 벡터 다발이 있으면, 두 개는 같은 다발일까 다른 다발일까를 판별해야 한다"

▲최인송 건국대 수학과 교수 ⓒ성유숙

왜 벡터 다발을 수학자는 필요로 했나?

최인송 교수는 "왜 벡터다발과 같은 게 필요하냐하는 질문을 수학자가 받으면 대답이 쉽지 않다"라며 "그게 필요해서 그걸 하게 된 경우는 실제로 많지 않다"라고 말했다. 벡터 다발은 수학계 안에 이미 주어져 있는 것이고, 수학자는 그걸 이제 공부하는 거라고 했다.

다항방정식의 해 집합이 만들어내는 게 대수다양체이고, 1차원 대수다양체는 대수곡선이다. 그리고 대수곡선 위에 세운 수학적인 구조가 벡터 다발이다. 또 벡터 다발을 다 모아놓으면 어떤 대수적인 구조를 이룬다. 이 구조는 모듈라이 공간이라고 한다. 그러니까 해집합이 만든 1차 기하 구조가 '곡선'이고, 그에 기반한 2차 구조물인 '벡터 다발', 그 위에 세운 3차 구조물이 '모듈라이 공간'이다.

최 교수는 "이게 생물학과 비슷할 수도 있다. 계속 새끼들을 낳고, 새끼들을 보면 유사한 것도 있지만 다른 것도 있다. 번식했을 때 그것들이 어떻게 변해 가는지를 보는 것도 굉장히 중요한 주제다. 수학 안에서의 생물학이라고 할 수 있겠다"라고 말했다.

최 교수는 "수학자들은 자기한테 익숙한 수학적 건 1차적인 구조라고 얘기할 수 있다. 나한테는 벡터 다발이 1차적인 구조이고, 모듈라이 공간 정도는 1.5차원에서 2차원까지의 구조라고 할 수 있다"라며 "거기에서 더 자꾸 뭔가를 만들어낼 수 있으면 좋다. 새로운 구조를 만들어내면 위대한 수학자가 되는 것이고, 보통은 그렇지 못하고 이미 만들어진 구조를 보통 공부한다"라고 말했다.

대한수학회 논문상 수상 논문 내용

최인송 교수는 대한수학회 2025년 국내논문상 수상 업적인 논문에는 공저자가 있다고 말했다. 영국 수학자 조지 H. 히칭(Hitching, 오슬로 메트로폴리탄 대학교 교수) 박사다. 최 교수는 "나의 가장 중요한 공저자다. 히칭 박사와 논문을 10편 정도 같이 썼다"라고 말했다.

최 교수가 히칭 박사를 알게 된 건, 서울대학교에서 박사학위를 받은 박사후연구를 위해 있었던 고등과학원에서다. 2004년부터 2008년 2월까지 있었다. 고등과학원에 간 지 얼마 안 되었을 때 최 교수는 수학자들이 논문 사이트(아카이브)에서 히칭 박사의 논문을 발견했다. 최 교수 이야기를 옮겨 본다.

"나라시만(M. S. Narasimhan, 인도 타타기초연구소)과 랑게(Herbert Lange, 독일 괴팅겐 대학교)라는 두 분이 연구한 어떤 결과가 있었다. 그분들 결과는 랭크 2벡터 다발에 대한 결과다. 논문이 재밌었다. 그래서 나는 그 결과를, 랭크 3이상에 대해서도 일반화할 수 있지 않을까 하는 궁금증을 갖고 있었다. 히칭 박사가 그때 학위 논문(영국 더럼 대학교)을 썼고, 그걸 보니, 나의 질문에 답을 줄 수 있을 것 같았다. 이메일을 보냈다. 논문 내용에 관심이 있다, 고등과학원에 와서 강의 한 번 하지 않겠느냐. 후일담을 들으니, 내가 보낸 이메일을 스팸메일인 줄 알았다고 했다. 왜냐하면 서울에 오면 숙소랑, 체제비랑 주겠다고 써서 그랬다고 했다. 그럼에도 나에 대해 찾아보니 소속과 신분을 확인했고, 그래서 한국에 바로 오게 되었다."

(*랭크 rank는, 대수곡선의 각 지점에 붙인 벡터 공간의 차원을 뜻한다. 예를 들어 벡터가 한 개 방향만 있으면 랭크 1, 앞뒤 좌우 두 방향을 갖고 있으면 랭크 2다. 방향 수가 늘어나면 랭크 3, 랭크 4로 랭크 수가 올라간다.)

히칭 박사는 2007년 여름 한국에 와서 2주 정도 머물렀다. 최 교수와 많은 이야기를 했다. 그리고 최 교수도 히칭 박사가 자리를 잡고 있던 오슬로를 찾아갔다. 공동 연구를 했다.

두 사람 연구 분야가 똑같았나? 최 교수는 "똑같진 않다. 히칭 박사는 직교다발(*뒤에 설명) 또는 사교다발을 연구했고, 나는 벡터다발에 관심이 있었다"라고 말했다. 최 교수는 이어 "직교 다발이나 사교다발에 대해 히칭 박사가 했던 어떤 방법이 내가 갖고 있던 문제에 해답을 줄 것 같은 방법이었다"라고 말했다. 이후에 최 교수의 수학적인 질문을 두 사람이 풀었다. 증명했다. 랑게-나라시만의 결과를 랭크에 상관없이 일반화했다. 2010년이었다.

문제는 잘 풀렸나? 최 교수는 이에 대해 "항상 그렇지만 처음에는 풀릴 거라고 기대하고 시작하지는 않는다. 처음에는 의욕을 갖고 시작하는데, 안 풀릴 것 같아 좌절도 가끔 하고, 회의도 오는 과정이 항상 있다. 그런데 막상 풀고 나서 보면 그렇게 어렵지 않은 결과라는 생각이 든다. trivial(사소한) 한 거다. 설명하거나 증명하지 않아도 저절로 알 만큼 명백하게 보인다. 알고 나면 trivial하나 처음에는 쉽지 않다. 그 연구는 나름 내게는 자부심이 있는 결과다"라고 말했다. 그 문제를 풀어내면서 최 교수와 히칭 박사는 학자로서 '살아남기'에 성공, 각각 대학에 자리를 잡을 수 있었다. 최 교수는 고등과학원을 떠나 건국대학교 수학과로 오게 되었다.

직교 다발이 뭐지?

기자는 '직교'라는 개념은 안다. 주어진 벡터공간 내 벡터들을 서로 90도를 이루는, 수직인 벡터들로 변환하는 작업이 직교화다. 원래 벡터들이 가진 3차원 공간 상의 방향은 유지하되, 벡터들 사이의 각도를 90도로 만든다. 그러면 벡터들이 서로 영향을 주지 않는 독립적인 성분들로 바뀐다. 복잡한 시스템을 상호독립적이고 단순한 구성 요소로 분해해서 분석할 수 있게 한다. 최인송 교수는 "벡터 다발에 직교 구조를 추가한 게 직교 다발"이라고 말했다. 최 교수는 이어 "어떤 수학적인 구조 위에 다른 수학적인 구조를 얹어서 공부하면 더 깊이 있는 구조를 볼 수 있는 경우가 많다. 그게 수학의 일반적인 원리다"라고 말했다.

최 교수가 연구해 온 수학 문제들

최인송 교수는 어떤 수학적인 문제를 갖고 연구해 왔을까? 최 교수는 "여러 가지가 있다. 히칭 박사와 많이 했던 거는 세그레 불변량(Segre invariant)이다. 세그레 불변량을 직교 다발과 사교 다발에 대해 계산했다"라고 말했다. 세그레는 20세기 초 대수기하학의 기초를 닦았던 이탈리아 수학자 이름이다. 세그레는 벡터 다발의 세그레 불변량을 알아냈다. 세그레 불변량이 뭘까? 물어보지 않을 수 없다. 최 교수는 "자꾸 물어봐주면 나는 좋다"라며 다음과 같이 설명을 해줬다.

"벡터가 사는 공간인 벡터공간에서 굉장히 중요한 개념이 부분 공간(sub space)이다. 부분공간은 큰 벡터 공간의 부분집합이면서, 그 자체로 벡터 공간의 모든 성질을 만족한다. 그 공간의 원점을 지나는 직선들, 이런 게 부분 공간이 된다. '부분 공간'에 대응하는 개념이 '부분 다발'이다. 부분 다발도 벡터 다발이다. 랭크가 1인 경우에는 부분 다발이 없다. 랭크가 2이상인 경우에는 부분 다발이 있고, 부분 다발들은 또 더 작은 랭크를 갖고 있다. 이제 어떤 벡터 다발에는 얼마나 많은 부분 다발이 있겠는가를 질문할 수 있다. 이건 부분 다발이 어떻게 생겼느냐는 질문이다. 이 질문은 질적인 질문이다. 수학은 질적인 질문을 양적으로 답한다. 양적으로 답하기 위해 나온 게 세그레 불변량이다. 부분 다발이 얼마나 많으냐에 답해주는 어떤 양이라고 생각하면 된다. 부분 다발의 구조를 밝혀주는 수학적인 양이다."

직교 다발과 사교다발의 세그레 불변량 연구를 최 교수는 히칭 박사와 2005년 즈음부터 시작했다. 20년 된 연구다. 그리고 주요 결과는 2014년 학술지 <international journal of Mathematics>에 출판했다. 최 교수는 "나의 대표적인 연구 중의 하나다. 직교 다발과 사교 다발의 세그레불변량을 계산한 거다"라고 말했다.

논문을 8개 장으로 쓴 이유

최인송 교수가 대한수학회의 국내논문상을 받은 논문 얘기를 들을 차례다. 이 이야기를 듣기 위해 배경 지식을 오래 들었다. 그런데 질문이 하나 있다. 국내논문상이란 또 무엇인가? 논문상이면 논문상이지? 대한수학회가 발행하는 학술지를 키우기 위해, 수학회가 발행하는 학술지를 통해 출판한 논문을 수상 대상으로 삼고 있는 것으로 알고 있다고 최 교수는 설명했다. 대한수학회는 <대한수학회지 Journal of the Korean Mathematical Society>, <대한수학회보 Bulletin of the Korean Mathematical Society>, <대한수학회논문집 Communications of the Korean Mathematical Society>이라는 영문 학술지를 발행하고 있다. 최 교수 논문은 <대한수학회지>에 나왔다. 직교 다발에 관한 논문이다.

최 교수는 "직교 다발 연구에서 획기적인 논문이 아니고, 우리가 발견했던 걸 체계적으로 정리했다. 직교 다발이 나와 같은 전문가에게도 혼동되는 게 많았다"라고 연구 배경을 설명했다. 최 교수는 이어 "직교 구조가 특수한 성질을 갖고 있다. 이게 수학에서 재밌는 얘기이기도 하다. 수학에서 제일 어려운 수가 뭐냐면 2다. 혼돈을 주고, 까다로운 수라고 할 수 있다. 우리도 연구하면서 실수를 많이 했다"라고 말했다. 다른 사람들도 실수를 반복하지 않게 수학 커뮤니티를 생각하면서 정리해낸 작업이 이 논문이다. 최 교수는 "그래서 오히려 개인적으로 보람이 있는 작업이었다"라고 말했다.

최 교수는 "논문 구조가 재밌다"라며 모두 8개 장으로 구성한 이유를 설명했다. 1장은 서론, 2장(preliminaries)은 논문이해를 위해 필요한 기본 용어나 개념, 기본적인 사실 소개다. 이어 3장부터 7장까지는 '랭크' 기준으로 작성했다. 3장은 랭크 2, 4장은 랭크 4, 5장은 랭크 3, 6장은 랭크 6, 7장은 랭크 5, 8장은 7이상의 랭크를 다뤘다.

"수학은 농업, 수학자는 농부"

최인송 교수는 "수학이 농업하고 비슷하다"라고 말했다. 두 가지 측면에서 그렇다고 했다. 우선, 수학이 겉으로 두드러지게 드러나지는 않으나, 학문의 근간이라는 측면에서 농업과 비슷하다. 각 분야가 세분화되어 있다는 것도 공통점이다. 쌀농사를 잘 짓는다고 해서 과수원을 잘하는 게 아니다. 수학도 그런 상황이다. 최 교수는 "굉장히 세부 분야가 많다. 그리고 각각이 매우 기술적이다. 그러다 보니 소통하기 어려운 게 현재의 상황이다"라고 말했다.

일반인이 수학자의 연구에 대해 얼마나 알아야 할까? 최 교수는 "농부가 농산물을 어떻게 키웠는지, 약을 언제 얼마나 쳤는지 모르지만 우리에게 중요한 건 제때에 잘 사먹는 거다. 마찬가지로, 일반인이 수학자가 하는 연구가 왜 필요한지를 이해할 필요는 없다고 생각한다. 하지만 관심이 가는 주제가 생길 때마다 여러 경로를 통해 질문하고 답을 찾아보려는 것은 삶을 풍요롭게 할 것이다"라고 말했다.

최인송 교수가 번역한 책 '기초 수학'(존 스틸웰)을 기자는 갖고 있다. 사놓고 앞에 몇 장만 읽기만 했지만, 역자를 만나니 반가웠다. 최 교수는 "잘 쓴 책이다. 역자가 세 명인데, 내가 번역하자고 제안했다"라고 말했다. 초판은 다 나갔다고 출판사로부터 들었다고 했다. 다른 사람과 같이 쓴 책으로는 '다변수 미분적분학'이 있다.

취재를 마치고 연구실 문을 열고 나왔다. 최인송 교수 연구실 문 바깥쪽에는 학회 포스터가 한 장 붙어 있다. 최 교수는 "은사인 황준묵 교수님이 환갑을 맞았을 때 여러 동료들과 함께 조직한 행사다. 2023년에 부여에서 학회를 열었다"라고 말했다.

▲최인송 건국대 수학과 교수 ⓒ성유숙

Copyright ⓒ 프레시안 무단 전재 및 재배포 금지

본 콘텐츠는 뉴스픽 파트너스에서 공유된 콘텐츠입니다.

다음 내용이 궁금하다면?
광고 보고 계속 읽기
원치 않을 경우 뒤로가기를 눌러주세요

실시간 키워드

  1. -
  2. -
  3. -
  4. -
  5. -
  6. -
  7. -
  8. -
  9. -
  10. -

0000.00.00 00:00 기준

이 시각 주요뉴스

알림 문구가 한줄로 들어가는 영역입니다

신고하기

작성 아이디가 들어갑니다

내용 내용이 최대 두 줄로 노출됩니다

신고 사유를 선택하세요

이 이야기를
공유하세요

이 콘텐츠를 공유하세요.

콘텐츠 공유하고 수익 받는 방법이 궁금하다면👋>
주소가 복사되었습니다.
유튜브로 이동하여 공유해 주세요.
유튜브 활용 방법 알아보기