2022.08.01 00:00 기준
시보드 2025-11-25 17:24:02 신고
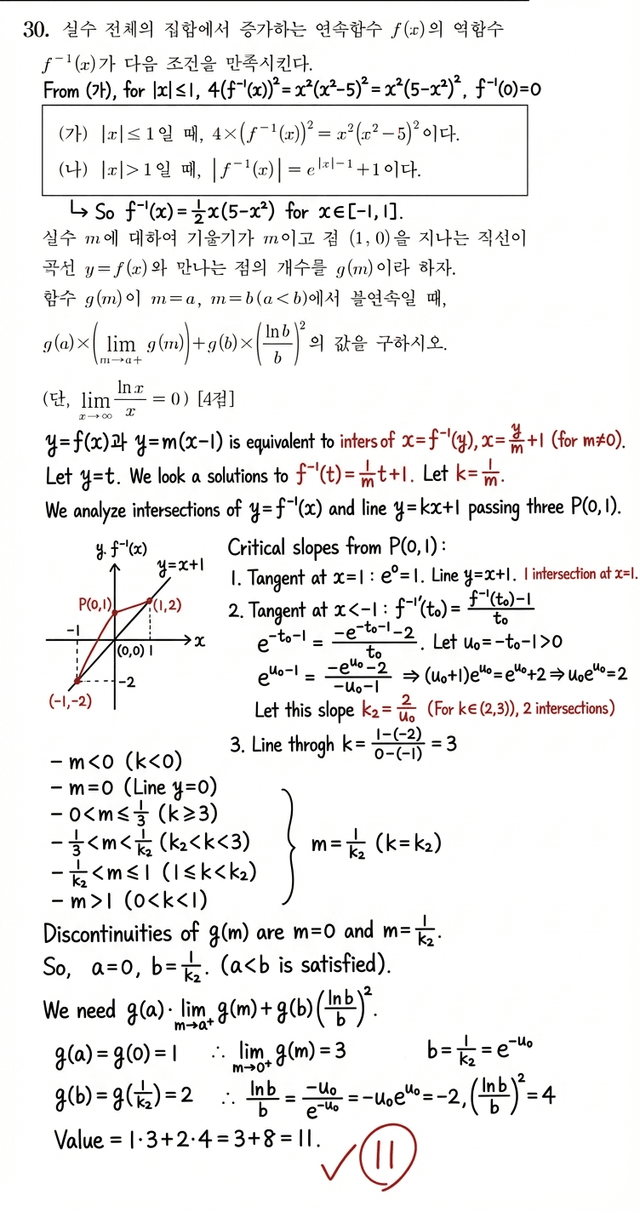
쓰레드 보다 봤는데 어케했노...29 30번
Copyright ⓒ 시보드 무단 전재 및 재배포 금지
본 콘텐츠는 뉴스픽 파트너스에서 공유된 콘텐츠입니다.
의외의외 한국에 대한 유년기 추억을 가진 외국인들
다문화애들 앞에서 튀기드립 친 시장 뒷이야기
이란을 패고 있지만 영국도 처 맞는중
버거퀸 아이유? 맥도날드 CEO의 햄버거 먹방이 논란인 이유
0000.00.00 00:00 기준
선착순 단가 더드림
진행
05.11 09:30 - 05.13 09:30
782,330 / 9,999,999
더드림 포인트 소진 수량은 안내 화면 노출 시점에 집계된 금액으로 이후 차이가 있을 수 있습니다.
프로모션 포인트 소진 수량은 안내 화면 노출 시점에 집계된 금액으로 이후 차이가 있을 수 있습니다.
작성 아이디가 들어갑니다
내용 내용이 최대 두 줄로 노출됩니다
http://m.newspic.kr/view.html?nid=2021080210354501704&pn=293&cp=h7asv27Y&utm_medium=affiliate&utm_campaign=2021080210354501704&utm_source=np210611h7asv27Y