“대사이상 지방간질환, 근력 약하면 심혈관 질환 위험 커져”[연구]

실시간 키워드

2022.08.01 00:00 기준

“대사이상 지방간질환, 근력 약하면 심혈관 질환 위험 커져”[연구]

헬스위크 2025-04-02 09:49:55 신고

3줄요약

▲ 사진제공=용인세브란스병원 

연세대학교 용인세브란스병원 소화기내과 임태섭 교수, 내분비내과 김경민 교수 연구팀은 대사이상 지방간질환 환자의 악력이 약할수록 심혈관 질환 발생 위험이 커진다는 사실을 대규모 장기 추적 데이터 분석을 통해 입증했다.

대사이상 지방간질환(MASLD)은 비만, 고혈압, 고지혈증, 당뇨 등의 대사이상이 있으면서 간 내에 지방이 과다하게 축적된 상태로, ‘비알코올성 지방간’으로 불리던 질환이다. 전 세계 인구 3명 중 1명에게 대사이상 지방간질환이 있다고 알려져 있으며, 그 유병률은 증가 추세이다.


▲ 용인세브란스병원 임태섭 교수, 김경민 교수
심혈관 질환은 대사이상 지방간질환에서 사망의 가장 큰 원인을 차지하기 때문에 심혈관 질환 고위험군을 찾는 것은 매우 중요하다. 대사이상 지방간질환에서 근력 혹은 근육량의 감소가 심혈관 질환의 위험성을 높인다는 결과가 발표된 바 있으나, 대부분은 어느 한 시점만 들여다본 단면연구였다. 이에 연구팀은 대사이상 지방간질환에서 근력에 따라 실제 심혈관 질환의 발생 위험이 달라지는지 종단적 연구를 통해 알아보고자 했다.

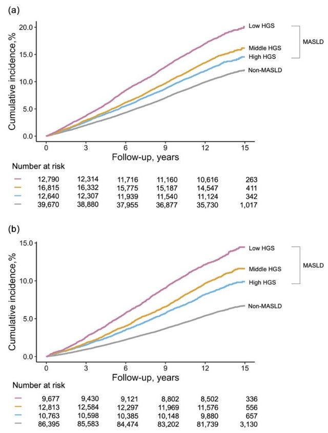
연구에는 영국 바이오뱅크(UK Biobank) 수검자 약 20만 명의 데이터를 활용했다. 근력 측정에는 전신 근력과 깊은 연관이 있는 악력을 활용했다. 대사이상 지방간질환은 간에 지방증이 있으면서 대사이상 요소 중 하나 이상을 갖고 있을 때로 정의했다. 심혈관 질환 발생은 국제질병분류 코드(ICD-10)의 진단명을 따랐다.

대사이상 지방간질환이 있는 수검자는 악력에 따라 낮은 악력, 중간 악력, 높은 악력으로 나눴고, 대사이상 지방간질환이 없는 수검자와 함께 심혈관 질환 발생의 차이를 분석했다.

평균 13.1년의 추적 관찰 결과, 심혈관 질환 발생 위험은 대사이상 지방간질환이 없는 집단에서 가장 낮았다. 이어 대사이상 지방간질환이 있는 집단 가운데 높은 악력, 중간 악력, 낮은 악력 순으로 심혈관 질환 발생 위험이 컸다. 이러한 결과는 남성과 여성 모두에게서 같았다.

다변량 분석을 통해 심혈관 질환 발생 위험 비율(Hazard ratio)을 확인한 결과, 대사이상 지방간이 없는 집단과 비교해 대사이상 지방간을 보유한 남성은 높은 악력(1.03), 중간 악력(1.14), 낮은 악력(1.38) 순서로, 대사이상 지방간을 보유한 여성은 높은 악력(1.07), 중간 악력(1.25), 낮은 악력(1.56) 순서로 심혈관 질환 발생 위험이 커졌다.

이번 연구는 대사이상 지방간질환에서 악력이 낮을수록 심혈관 질환 발생 위험이 증가한다는 것을 대규모 장기 추적 데이터를 통해 입증한 연구라는 점에서 의미가 있다.

임태섭 교수는 “이번 연구 결과는 근력 저하가 대사이상 지방간질환의 주요 사망 원인인 심혈관 질환의 발생 위험을 높일 수 있으며, 이 환자군에서 근력 관리가 중요하다는 점을 시사한다”라며 “앞으로 실제 근력을 강화하는 중재를 통해 심혈관 질환 예방 효과가 있는지를 확인하는 추가 연구가 필요하며, 이번 연구가 그 근거로 활용될 수 있을 것”이라고 말했다.

김경민 교수는 “그동안 다양한 연구들이 근감소증의 임상적 중요성을 강조했다. 이번 연구는 지방간 환자도 근력 유지 및 향상을 위한 노력이 중요하다는 것을 다시 한번 시사한다”라며 “노화 과정에서 근력과 근육량은 어쩔 수 없이 감소하지만, 적절한 영양 섭취와 꾸준한 운동을 통해 이를 유지하기 위한 노력은 건강노화에 필수적이다”라고 강조했다.

연구 결과는 국제 학술지 ‘Journal of Cachexia, Sarcopenia and Muscle(IF 9.4)’에 최근 게재됐다.

Copyright ⓒ 헬스위크 무단 전재 및 재배포 금지

본 콘텐츠는 뉴스픽 파트너스에서 공유된 콘텐츠입니다.

다음 내용이 궁금하다면?
광고 보고 계속 읽기
원치 않을 경우 뒤로가기를 눌러주세요

실시간 키워드

  1. -
  2. -
  3. -
  4. -
  5. -
  6. -
  7. -
  8. -
  9. -
  10. -

0000.00.00 00:00 기준

이 시각 주요뉴스

알림 문구가 한줄로 들어가는 영역입니다

신고하기

작성 아이디가 들어갑니다

내용 내용이 최대 두 줄로 노출됩니다

신고 사유를 선택하세요

이 이야기를
공유하세요

이 콘텐츠를 공유하세요.

콘텐츠 공유하고 수익 받는 방법이 궁금하다면👋>
주소가 복사되었습니다.
유튜브로 이동하여 공유해 주세요.
유튜브 활용 방법 알아보기