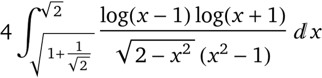
1. 아래 글에 이런 문제가 올라옴
2. o1pro구독중이라, 한번 넣고 돌려봄
2. r1 돌려봄

[총평]
| o1pro | r1 |
| 12분 43초 | 2분 30초 |
| 결론 도출 | 결론 도출못함 |
|풀이과정 없음 | 풀이과정 및 접근과정 상세함 |
|월 33만원 | 꽁자 |
[개인적인 의견]
- 문제에 대한 답을 도출한건 o1
- 하지만, 너무 느림
- r1은 정말 빠름. 하지만 틀린정도가 아니라, 아예 답을 못냄
- 그래도 풀이과정을 (Processing of Thought)를 전부 볼수 있다는건 매우 고무적임
- o1은 풀이과정을 미공개함. 답만찍
- 연구하는 입장에서는 답이 틀려도 괜찮으니, 생각하는 과정을 따라가는 것만으로 매우 큰도움임
- 그런면에서는 r1이 압도적으로 의미가 있음
- 공부랑, 연구랑은 다르다.
- 우리 랩에서는 r1 때문에 난리남
참고로 카이스트에서 시스템 예측을 연구하는 박사과정(5년차)임
특이점이 온다 갤러리
Copyright ⓒ 시보드 무단 전재 및 재배포 금지
본 콘텐츠는 뉴스픽 파트너스에서 공유된 콘텐츠입니다.

