2022.08.01 00:00 기준
꿀잼 저장소 2024-12-22 16:22:36 신고
의외로 알아두면 인생에 도움이 되는 공식.jpg
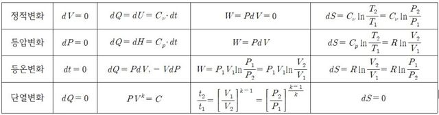
열역학 공식
꿀잼/저장소
Copyright ⓒ 꿀잼 저장소 무단 전재 및 재배포 금지
본 콘텐츠는 뉴스픽 파트너스에서 공유된 콘텐츠입니다.
수습 할수 없는 발언,,
[스압] 명문대가 괜히 명문대가 아닌 이유,,
[스압] 냉부해 박은영 셰프가 처음으로 조리장 달았는데 VIP 손님이 왔음.jpg,,
고양이 키우는 집에서 참치찌개를 끓였다,,
0000.00.00 00:00 기준
선착순 단가 더드림
진행
05.11 09:30 - 05.13 09:30
782,330 / 9,999,999
더드림 포인트 소진 수량은 안내 화면 노출 시점에 집계된 금액으로 이후 차이가 있을 수 있습니다.
프로모션 포인트 소진 수량은 안내 화면 노출 시점에 집계된 금액으로 이후 차이가 있을 수 있습니다.
작성 아이디가 들어갑니다
내용 내용이 최대 두 줄로 노출됩니다
http://m.newspic.kr/view.html?nid=2021080210354501704&pn=293&cp=h7asv27Y&utm_medium=affiliate&utm_campaign=2021080210354501704&utm_source=np210611h7asv27Y