현재 미쳤다는 gpt 신규모델 수학성능 근황

실시간 키워드

2022.08.01 00:00 기준

현재 미쳤다는 gpt 신규모델 수학성능 근황

정치9단 2024-12-06 13:56:03 신고

1733460958594.png
 
 
 
 
o1 pro가 출시됨 ㅎㄷㄷㄷㄷ
 


17334609587114.png
 
 
 
 
수능 킬러문항
 
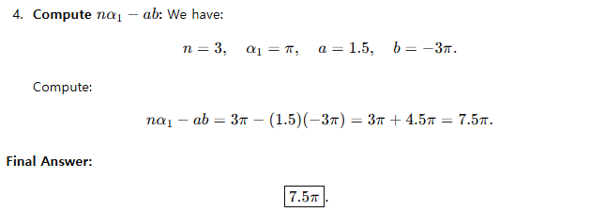
역대 Ai들이 다 틀렸다는 복잡한 수학문제
 
Ai들이 이 문제가 대체 뭔지 조차 제대로 이해를 못함
 
 
 
 


1733460959145.png


1733460959293.png


173346095946.png

17334609596384.jpeg

 
 
1트 3분컷
 
 
 
 
 
17334609597591.png
 
 
이전 Ai들이 문제는 이해하는데 풀이과정이 틀린 문제
 


17334609599878.png


17334609602172.png


17334609604055.jpeg

 
 
1트 2분컷
 
 
 
 
 
 
17334609605217.png
 
 
 
 
 
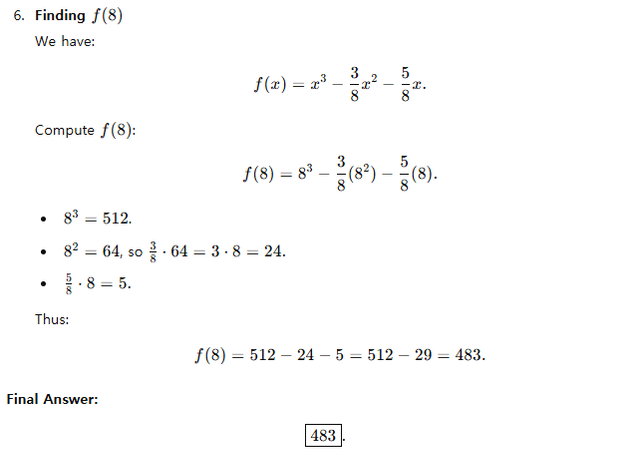
o1 쯤 오면서부터 맞추기 시작한 문제
 
 


17334609606901.png


17334609608547.png


17334609610704.jpeg

 
1트 2분컷
 
o1 pro는 자체적으로 검산을 1번 더 해서 
좀 오래걸린다고 함
 
 
 
 
 
17334609611739.png


17334609614282.png


17334609616706.png


17334609618998.png


17334609619974.jpeg

 
 
1트 4분컷
 
 
 
 
 
17334609621182.png
 
 
 
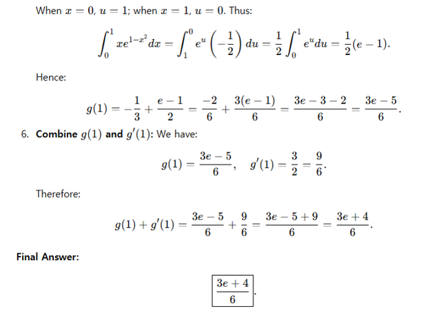
마지막으로 작년 수능 22번 문제
 
정답률 1.5%
 
추론을 미친듯이 요구하는 미친문제
 
 
 
 
 


17334609622691.png


1733460962575.png


17334609628015.png


17334609629392.jpeg

 
 
 
1트 10분컷
 
 
 
 
 
 
 
신규모델 나올때마다 문제돌리는 사람 말로는
 
수능수학은 사실상 정복한거 같다고 언급함
 
 
 
 
 


Copyright ⓒ 정치9단 무단 전재 및 재배포 금지

본 콘텐츠는 뉴스픽 파트너스에서 공유된 콘텐츠입니다.

다음 내용이 궁금하다면?
광고 보고 계속 읽기
원치 않을 경우 뒤로가기를 눌러주세요

실시간 키워드

  1. -
  2. -
  3. -
  4. -
  5. -
  6. -
  7. -
  8. -
  9. -
  10. -

0000.00.00 00:00 기준

이 시각 주요뉴스

알림 문구가 한줄로 들어가는 영역입니다

신고하기

작성 아이디가 들어갑니다

내용 내용이 최대 두 줄로 노출됩니다

신고 사유를 선택하세요

이 이야기를
공유하세요

이 콘텐츠를 공유하세요.

콘텐츠 공유하고 수익 받는 방법이 궁금하다면👋>
주소가 복사되었습니다.
유튜브로 이동하여 공유해 주세요.
유튜브 활용 방법 알아보기