심리학자들은 나에게 일어난 긍정적인 사건의 원인을 내부적인 것(나의 능력이나 노력 등)에 귀인하고, 부정적인 사건의 원인을 외부적인 것(운, 외부 여건, 돌발 요소 등)에 귀인하려는 성향을 가리켜 ‘자기 위주 편향(Self-serving bias)’이라 일컫는다. 쉽게 이야기하면 ‘잘되면 제 탓, 못되면 조상 탓’이라던 한국 속담의 의미와 그대로 닮아 있는 용어다.
그렇다면 자기 위주 편향은 왜 발생하는가? 연구 결과들에 따르면 우리가 부지불식간에 자기 위주 편향에 빠져드는 주된 이유는 ‘긍정적인 자아상’의 확립과 유지를 위해서다. 훌륭한 업무 성과를 달성했는데 그것이 나의 노력이거나 능력에 의한 것이 아니라 단지 그저 운이 좋았을 뿐이라면, 사실 그것은 별로 유쾌한 일이 아니다. 다음에도 그러한 성과가 나타나리라는 보장도 없으며 기껏 좋은 결과를 받아 들었다 해도 나로 인한 것이 아니니 딱히 스스로를 자랑스러워할 필요가 없는 것이다.
반대로 만약 업무 성과가 지나치게 저조했는데 그것이 운이 나빴거나, 외부의 방해가 있었기 때문이 아니라 나의 무능력 때문이었다면? 문제의 원인이 나에게 있으므로 지금의 내가 바뀌지 않는다면 앞으로의 실패도 예정된 것이나 마찬가지다.
결과적으로 긍정적인 사건에 대해 다른 것에 그 공을 돌리고, 부정적인 사건에 대해 내 탓을 하는 것은 결코 기분 좋은 일이 아니다. 심리적 위축, 우울, 불안 등을 불러오고 장기적으로 나의 삶에 악영향을 불러오게 된다. 그래서 우리는 잘 된 일에 대해서는 어떻게든 내 노력과 능력이 기여되었음을 확인하려 하고 인정받으려 한다. 반대로 잘못된 일에 대해서는 온갖 그럴듯한 변명들을 생각해내어 나의 책임 영역을 조금이라도 축소시키려 한다. 그것이 의식적으로 이루어지든, 무의식적으로 이루어지든 말이다.
내 잘못 아님! 하여튼 아님! / 사진: Unsplash의Sarah Kilian
그러나 생각해 보자. 긍정적, 부정적 사건에 대해 원인을 묻는 상황은 나 혼자 있는 상황에서만 발생되는 것이 아니다. 사실 나 혼자만 잘 하면 되는 일이었다면 결과에 대해 원인을 규정하는 것은 오로지 나의 몫으로 남는다. 좋은 성적에 대해 그저 운이 좋았다며 외부귀인(external attribution)을 하든, 내가 이래 봬도 꽤 능력이 있었다고 자평하거나 노력을 많이 했기 때문이라고 내부귀인(internal attribution)을 하든 그것은 내 자유다. 또한 원하던 자격증 시험에서 불합격한 것에 대해 내 탓을 하든, 운 탓을 하든 그것 또한 내 자유다. 사건의 원인을 스스로가 납득할 수 있다면 그것으로 좋다.
그러나 다른 사람들이 나를 보고 있다면 상황은 조금 달라진다. ‘자기 위주 편향에 빠진 나의 모습을 다른 사람들이 본다면, 사람들은 나를 어떻게 생각할까? 잘 된 것은 내 탓이라며 자랑하고, 안 된 것은 어쩔 수 없었다고 변명하는 한심한 사람으로 보는 것은 아닐까?’ 사람들이 나를 부정적으로 보게 될 수도 있다는 우려가 생기는 것이다.
사실 사람들은 다른 사람들의 자기 위주 편향을 평가하는 여러 기준들을 가지고 있다. 내가 좋아하는 사람이라면 잘못된 일에 대해 다른 것에 책임을 ‘전가’하는 일은 하지 않을 것이라는 기대감을 갖는다. 혹은 내가 별로 좋아하지 않는 사람이라면 잘 된 일에 자화자찬을 하는 모습을 두고 ‘뻔뻔하다’며 비난할 수도 있고, 잘못된 일에 대해 남 탓을 하는 모습을 보고 ‘비겁하다’며 손사래를 치게 될 수도 있다.
결과적으로 우리는 내가 행하는 것뿐만 아니라 다른 사람이 행하는 자기 위주 편향들을 경험하고, 그로부터 그 사람들을 평가하며 살아가는 것에 익숙해져 있다. 타인이 사건의 원인에 대해 남 탓을 하는지, 자신 탓을 하는지를 예의주시하고 그 대답에 대해 다양한 해석들을 내놓는다. 그리고 우리들은 ‘어떤 사람’이라면 자기 위주 편향을 더 하거나 덜 할 것이라는 기대감을 갖고 있다.
이러한 맥락에서 심리학자 Lee와 Tiedens가 주목한 것은 ‘지위(status)’의 역할이었다. 사람들은 기본적으로 높은 지위에 있는 사람이라면 뛰어난 능력을 바탕으로 한 통제력을 가지고 있으리라 기대한다. 그리고 한편으로 부하 직원들을 다독이고 함께 성장해 나갈 줄 아는, 그런 인자한 리더십을 기대하기도 한다.
자기 위주 편향과 관련지어 설명하면, 사람들은 높은 지위에 있는 사람일수록 자기 위주 편향을 ‘덜’ 가지고 있기를 기대하고 있다. 즉 잘된 일에 대해서는 자화자찬을 하기보다는 겸손할 줄 알고, 공을 부하 직원들에게 돌릴 줄 아는 사람이기를 바란다. 또한 잘못된 일에 대해서는 주위 탓이나 하고 있는 것이 아니라, 리더로서 사태에 막중한 책임감을 가지고 원만한 해결을 위해 앞장서 주기를 기대한다. 이를 바탕으로 심리학자 Lee와 Tiedens가 세울 가설은 다음과 같았다.
" 사람들이 타인의 자기 위주 편향에 대해 갖는 인식은 ‘타인이 가지고 있는 지위’ 수준에 따라 달라질 것이다. 즉, 지위가 낮은 사람이 자기 위주 편향을 갖는 것에 비해, 지위가 높은 사람이 자기 위주 편향을 가질 때 더 불신하고, 반감을 갖게 될 것이다.
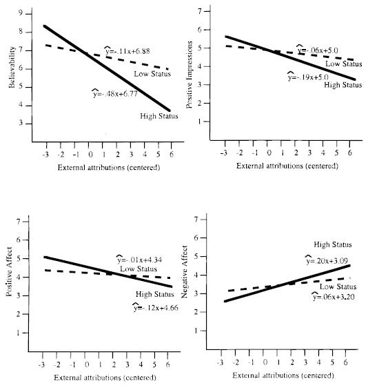
가설을 검증하기 위한 실험 맥락을 살펴보자. 실험 참여자들은 실험 조건에 따라 상급자, 혹은 하급자가 자기 위주 편향(잘못된 일에 대해 ‘남 탓’ 하기)을 갖는 모습을 관찰한 뒤, 이들에 대해 얼마나 신뢰하는지, 얼마나 긍정적인 인상을 받았는지, 얼마나 긍정적·부정적인 사람이라고 생각하는지를 묻는 문항들에 답변하였다. 그리고 그 결과는 다음과 같았다.
(Lee & Tiedens, 2000)
낮은 지위에 있는 사람이 자기 위주 편향을 보일 때에 비해(점선), 높은 지위에 있는 사람이 자기 위주 편향을 보일 때 사람들은 더 그 사람을 불신하였고, 부정적으로 평가하였다(검은선). 즉 높은 지위에 있는 사람이라면 자기 위주 편향을 덜 보여야 한다는 사람들의 기대감은 배반되었고, 사람들은 결과적으로 높은 지위의 사람에 대해 보다 가혹한 평가를 내린 것이다.
마치며
현실로 눈을 돌려 보자. 이러한 실험 결과가 말해주는 것과는 달리, 많은 현실의 리더들은 자신을 향하여 사람들이 어떠한 기대를 갖고 있는지에 대해 무지하여 사람들의 기대감을 무너뜨린다. 잘된 일에 대해서는 어떻게든 공로를 주장하려 하고, 잘못된 일에 대해서는 책임 회피에 급급하다. 단지 얼마나 ‘점잖게’ 그러한 자기 위주 편향을 드러내고 있느냐에 있어서만 차이가 존재할 뿐, 기본적으로 대중들의 관심을 받는 각계각층의 리더들이 보이는 모습은 대동소이하다.
높은 지위에 올라 있는 사람들에게 사람들이 더 높은 기대를 갖고 있다는 점을 감안한다면, 잘된 일에 대한 형식적 겸손이나 잘못된 일에 대한 형식적 책임 시인 정도로는 사람들의 기대감을 충족시키기에는 아무래도 역부족이라는 점을 기억해야 할 필요가 있다. 조금 더 겸손해야 하고, 조금 더 책임감 있는 모습이 필요하다. 그것이 아니라면 사람들의 마음은 결코 움직이지 않는다.
원문: 허용회의 사이콜로피아
참고 문헌
- 1. Campbell, W. K., & Sedikides, C. (1999). Self-threat magnifies the self-serving bias: A meta-analytic integration. Review of general Psychology, 3(1), 23-43.
- 2. Lee, F., & Tiedens, L. Z. (2001). Who’s being served?“Self-serving” attributions in social hierarchies. Organizational Behavior and Human Decision Processes, 84(2), 254-287.
- - 심리학적 글쓰기, 자존감 향상, 목표관리, 마음건강 등에 관한 특강을 진행하고 있습니다.
- - 심리학 대학원 입시 전략 설명회도 정기 진행합니다.
- - 심리학자와 함께 하는 심리학 책 위주의 독서모임 <심리:안> 참가자를 모집합니다.
허작가의 사이콜로피아 홈페이지(바로가기)를 확인해 주세요.
이 필자의 다른 글 읽기
Copyright ⓒ ㅍㅍㅅㅅ 무단 전재 및 재배포 금지
본 콘텐츠는 뉴스픽 파트너스에서 공유된 콘텐츠입니다.
