일반비만(체질량지수≥25kg/㎡)과 복부비만(허리둘레 남성 90cm, 여성 85cm 이상)을 동시에 가진 환자들의 무릎 관절염 발생 위험이 더 높은 반면 비만을 개선하면 위험도가 낮아진다는 연구 결과가 발표됐다.
성빈센트병원 정형외과 박도준 교수팀은 국민건강보험공단의 건강검진 데이터를 활용해 국내 50세 이상 성인 110만명의 데이터를 분석해 일반비만과 복부비만이 무릎 관절염에 미치는 위험도와 2년간의 비만 상태 변화에 따른 무릎 관절염 발생과의 연관성을 연구했다.
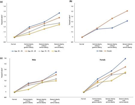
이번 연구 결과에 따르면, 일반인에 비해 무릎 관절염 발생 위험이 복부비만인 경우 1.17배, 일반비만인 경우 1.28배, 일반비만과 복부비만을 동시에 가진 경우 1.41배로 높아진 것으로 확인됐다.
일반비만과 복부비만 모두 관절염의 위험도를 높이며, 두 종류의 비만을 동시에 갖고 있으면 위험도는 가중됐다.
특히, 젊은 연령층과 여성에서 비만 상태와 무릎 관절염 발생의 연관성이 더욱 분명하게 나타났다.
일반비만과 복부비만을 동시에 가진 경우 무릎 관절염 발생 위험도가 일반인에 비해 남성은 1.32배, 여성은 1.51배 높아진 것으로 확인됐다.
또한, 80대 이상에서는 1.24배, 70대에서는 1.27배, 60대에서는 1.38배, 50대에서는 1.47배로, 젊은 연령층으로 갈수록 위험도가 증가하는 경향이 확인됐다.
눈여겨볼 만한 점은 2년간 비만 상태를 개선한 경우 무릎 관절염 발생 위험도가 감소했다는 점이다.
비만 상태를 개선한 사람들의 무릎 관절염 발생 위험도를 측정한 결과, 일반 비만과 복부 비만 개선 시 무릎 관절염 발생 위험이 각각 11.6%와 10% 감소한 것으로 확인됐다.
박도준 교수는 “과거에는 비만과 관절염의 연관성이 체중에 따른 기계적 압력과 관련된 것으로만 이해되어왔는데, 최근에는 지방 조직 자체가 관절염을 유발할 수 있다는 증거들이 밝혀지고 있다”며, “이번 연구를 통해 복부 비만과 무릎 관절염 간의 독립적인 연관성을 확인했으며, 비만이 무릎 관절염 발생 위험을 증가시키는 것과 비만 상태 개선이 무릎 관절염 예방에 도움이 된다는 사실이 입증됐다”고 설명했다.
이어 “무릎 관절 건강을 위해 비만 관리와 건강한 생활 습관은 필수적이다“며, ”이번 연구에서 여성의 경우 비만과 무릎 관절염 발생 위험도가 더욱 높아지는 것으로 나타난 만큼, 특히 50대 여성들에게 비만 관리를 통한 무릎 관절염 예방이 더욱 중요하다”고 강조했다.
이번 연구 결과는 세계적 과학 저널 네이처(Nature)가 출간하는 SCI급 국제학술지 ‘Scientific Reports’ 최근호에 게재됐다.
한편 이번 연구는 복부비만을 포함한 비만 상태와 그 변화가 무릎 관절염 발생 위험에 미치는 영향을 조사한 최초의 연구로, 기존의 체질량지수를 기준으로 한 비만 여부에 따른 무릎 관절염에 대한 연구 형태를 발전시켰다.
[메디컬월드뉴스 김영신 기자]
Copyright ⓒ 메디컬월드뉴스 무단 전재 및 재배포 금지
본 콘텐츠는 뉴스픽 파트너스에서 공유된 콘텐츠입니다.

