문제를 넣어주면 Lean으로 번역하는놈 하나에 푸는놈 하나 붙어서 풀어주고
마지막에 구문검사로 제대로 증명했는지 검증함
수능문제 몇개 넣어봤어요
그대로는 못넣고 제미나이로 영어번역 + "답이 ~임을 증명하시오" 형식으로 바까줘야함
3모 킬러 22번
pass@16 넣어봤지만 개같이 실패
기하를 담당하는 20번
기하는 약할것같다고 예상했고 예상대로 pass@16 실패
나름 생각잘해야하는 15번
Lean으로 나타내기 좋을것같아서 기대했으나 pass@16 실패
계산만 우다다다 해주면되는 4점초반 쉬운문제
pass@16 실패
여기서부터 뭔가 잘못됨을 느낌
같은 4점 초반라인 두개
둘다 실패
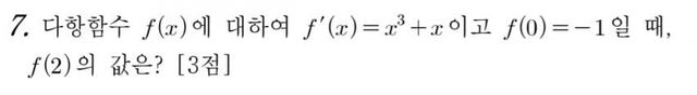
내가 뭔가 잘못쓰고있나를 생각하며 3점 개쉬운문제까지 내려옴
성공 하긴했는데
정답률이 엄
한 200트 돌릴생각으로 해야하나? 수학 문항제작할때 검증기정도는 만들수있지않을까 생각했는데
생각보다 더 참담하네요 이걸로 퍼트넘 10문제는 어케푼거지
대학수학은 좀 나을수있음 아마 추상대수쪽...
Copyright ⓒ 시보드 무단 전재 및 재배포 금지
본 콘텐츠는 뉴스픽 파트너스에서 공유된 콘텐츠입니다.
다음 내용이 궁금하다면?
광고 보고 계속 읽기
원치 않을 경우 뒤로가기를 눌러주세요
