개토나오는 인도 수학 교육과정

실시간 키워드

2022.08.01 00:00 기준

개토나오는 인도 수학 교육과정

시보드 2025-02-18 08:06:01 신고


인도 고등학생들이 배우는 수학 교육과정 범위에 대해 알아보자.




17398334390552.jpg


일단 여기있는 한국 수능 범위에 포함된 수학 내용은 당연히 싹 다 배우고


이제 여기에 추가적으로






17398334397664.png


미분방정식




17398334404478.jpg


공간벡터




17398334413289.png


조합론




17398334420179.png


매클로린 급수




17398334425158.png



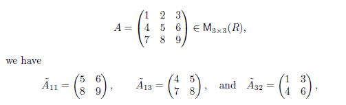
행렬식




17398334442303.png


선형변환




17398334461301.jpg



정수론 소수




17398334465734


복소평면




1739833447133.png


극좌표계




17398334477173.jpg


디오판토스 방정식




1739833448218.png



회귀분석





17398334493769.png



수치해석




17398334507135.png



그래프 이론





1739833452045



집합론




17398334528568



곡면




1739833453728.jpg



산술함수






위의 내용들을 더 추가적으로 배운다 생각하면 됨..







17398334549185




Copyright ⓒ 시보드 무단 전재 및 재배포 금지

본 콘텐츠는 뉴스픽 파트너스에서 공유된 콘텐츠입니다.

다음 내용이 궁금하다면?
광고 보고 계속 읽기
원치 않을 경우 뒤로가기를 눌러주세요

실시간 키워드

  1. -
  2. -
  3. -
  4. -
  5. -
  6. -
  7. -
  8. -
  9. -
  10. -

0000.00.00 00:00 기준

이 시각 주요뉴스

알림 문구가 한줄로 들어가는 영역입니다

신고하기

작성 아이디가 들어갑니다

내용 내용이 최대 두 줄로 노출됩니다

신고 사유를 선택하세요

이 이야기를
공유하세요

이 콘텐츠를 공유하세요.

콘텐츠 공유하고 수익 받는 방법이 궁금하다면👋>
주소가 복사되었습니다.
유튜브로 이동하여 공유해 주세요.
유튜브 활용 방법 알아보기