o1pro vs r1 수학문제 풀이 간단 비교 (밑에 글에서 끌어옴)

실시간 키워드

2022.08.01 00:00 기준

o1pro vs r1 수학문제 풀이 간단 비교 (밑에 글에서 끌어옴)

시보드 2025-01-23 07:40:01 신고

1737585532909.png



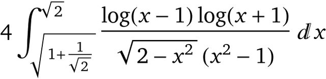
1. 아래 글에 이런 문제가 올라옴

2. o1pro구독중이라, 한번 넣고 돌려봄



17375855342666.png



2. r1 돌려봄


17375855360412.png



[총평]
|  o1pro    |    r1   |

| 12분 43초 | 2분 30초 |

| 결론 도출 |  결론 도출못함 |

|풀이과정 없음 | 풀이과정 및 접근과정 상세함 |
|월 33만원 |  꽁자 |

[개인적인 의견]
 - 문제에 대한 답을 도출한건 o1

 - 하지만, 너무 느림
 - r1은 정말 빠름. 하지만 틀린정도가 아니라, 아예 답을 못냄
 - 그래도 풀이과정을 (Processing of Thought)를 전부 볼수 있다는건 매우 고무적임

 - o1은 풀이과정을 미공개함. 답만찍

 - 연구하는 입장에서는 답이 틀려도 괜찮으니, 생각하는 과정을 따라가는 것만으로 매우 큰도움임
 - 그런면에서는  r1이 압도적으로 의미가 있음

 - 공부랑, 연구랑은 다르다.

 - 우리 랩에서는 r1 때문에 난리남



참고로 카이스트에서 시스템 예측을 연구하는 박사과정(5년차)임








특이점이 온다 갤러리

Copyright ⓒ 시보드 무단 전재 및 재배포 금지

본 콘텐츠는 뉴스픽 파트너스에서 공유된 콘텐츠입니다.

다음 내용이 궁금하다면?
광고 보고 계속 읽기
원치 않을 경우 뒤로가기를 눌러주세요

실시간 키워드

  1. -
  2. -
  3. -
  4. -
  5. -
  6. -
  7. -
  8. -
  9. -
  10. -

0000.00.00 00:00 기준

이 시각 주요뉴스

알림 문구가 한줄로 들어가는 영역입니다

신고하기

작성 아이디가 들어갑니다

내용 내용이 최대 두 줄로 노출됩니다

신고 사유를 선택하세요

이 이야기를
공유하세요

이 콘텐츠를 공유하세요.

콘텐츠 공유하고 수익 받는 방법이 궁금하다면👋>
주소가 복사되었습니다.
유튜브로 이동하여 공유해 주세요.
유튜브 활용 방법 알아보기