오십견, 약침치료도 효과 있네…물리치료보다 개선효과 뚜렷

실시간 키워드

2022.08.01 00:00 기준

오십견, 약침치료도 효과 있네…물리치료보다 개선효과 뚜렷

헬스경향 2024-10-14 11:38:00 신고

자생한방병원 척추관절연구소, 양 치료 비교연구로 효과·안전성 입증
자생한방병원은 척추관절연구소 김두리 원장

오십견으로 더 잘 알려진 유착성관절낭염은 중장년층의 대표적인 어깨관절질환으로 꼽힌다. 일반적으로 약물치료, 주사치료, 물리치료 등 다양한 보존치료를 시행하며 한의치료를 고려하는 환자들도 많다. 하지만 치료법 간 효과의 차이는 잘 알려지지 않아 환자 입장에선 늘 고민이 된다.

최근 유착성관절낭염에 대한 약침치료가 물리치료보다 통증, 기능, 가동범위 측면에서 더 유의미한 개선효과를 보인 연구결과가 발표됐다.

자생한방병원은 척추관절연구소 김두리 원장 연구팀이 유착성관절염에 대한 약침치료의 효과과 안전성을 입증했다고 밝혔다.

약침치료는 침의 물리적 자극과 한약추출물의 약리적 효과가 결합돼 치료효과를 극대화한다. 염증과 통증을 빠르게 완화하면서 동시에 손상된 신경과 연골, 기타 연부조직의 회복을 촉진해 다양한 근골격계질환 치료에 널리 활용되고 있다.

자생한방병원 의료진이 유착성관절낭염환자에게 약침치료를 진행하고 있다

연구팀은 중등도 이상의 통증을 호소하는 유착성관절낭염환자 50명을 약침치료군과 물리치료군으로 무작위 배정해 6주간 주 2회씩 치료하고 이후 13주까지 경과를 추적했다. 약침치료군에게는 신바로·황련해독탕 등의 약침이 사용됐으며 물리치료군에게는 간섭파치료와 심부열치료 등이 시행됐다.

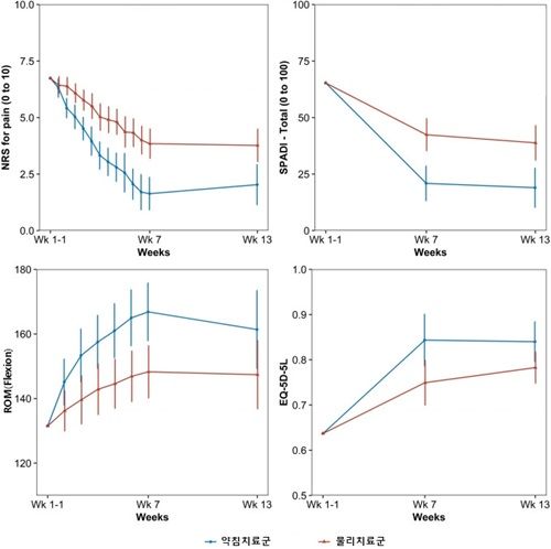
연구결과 치료가 끝난 직후인 7주차와 최종 관찰 시점인 13주차 모두 약침치료군이 물리치료군보다 대부분의 지표에서 더 나은 결과를 보였다. 통증숫자평가척도(NRS; 0~10/높을수록 통증이 심함)로 평가한 통증수치는 두 치료군 모두 치료 전 중증 수준인 평균 7을 기록했으나 약침치료군은 7주차에 1.63으로 떨어져 약 76%의 감소 폭을 보였다.

반면 물리치료군은 같은기간 3.85로 45% 감소해 약침치료군이 더 큰 개선효과를 나타냈다. 통증을 시각적으로 표시하는 통증시각평가척도(VAS)에서도 약침치료군의 통증 감소효과가 더 뛰어났다.

약침치료군과 물리치료군 간 NRS, SPADI, ROM, EQ-5D-5L 비교 그래프

기능 개선 척도인 어깨통증장애지수(SPADI; 0~100/높을수록 장애가 심함)에서도 약침치료군은 치료 전 62.6에서 7주 후 20.89로 물리치료군에서는 67.8에서 42.42로 각각 개선되며 약침치료군이 더 높은 치료효과를 보였다. 어깨의 관절가동범위(ROM) 검사에서도 마찬가지 결과가 도출됐다.

특히 두 치료군은 삶의 질 지표에서도 유의한 차이를 보였는데 약침치료군이 물리치료군보다 삶의 질 개선세가 뚜렷했다. EQ-5D-5L 점수(0~1, 높을수록 삶의 질 좋음)에서 7주차에 약침치료군은 0.84, 물리치료군은 0.75를 기록했으며 13주차에도 차이가 유지됐다.

자생한방병원 척추관절연구소 김두리 원장은 “이번 연구를 통해 유착성관절낭염에 있어 약침치료가 물리치료 대비 효과적인 치료가 될 수 있음을 확인할 수 있었다”며 “아울러 이번 연구가 대규모 임상에 앞서 진행되는 파일럿 연구인 만큼 향후 약침치료에 대한 과학적 근거가 강화돼 삶의 질 저하로 어려움을 겪는 환자들에게 도움이 되길 바란다”고 말했다.

본 콘텐츠는 뉴스픽 파트너스에서 공유된 콘텐츠입니다.

다음 내용이 궁금하다면?
광고 보고 계속 읽기
원치 않을 경우 뒤로가기를 눌러주세요

실시간 키워드

  1. -
  2. -
  3. -
  4. -
  5. -
  6. -
  7. -
  8. -
  9. -
  10. -

0000.00.00 00:00 기준

이 시각 주요뉴스

알림 문구가 한줄로 들어가는 영역입니다

신고하기

작성 아이디가 들어갑니다

내용 내용이 최대 두 줄로 노출됩니다

신고 사유를 선택하세요

이 이야기를
공유하세요

이 콘텐츠를 공유하세요.

콘텐츠 공유하고 수익 받는 방법이 궁금하다면👋>
주소가 복사되었습니다.
유튜브로 이동하여 공유해 주세요.
유튜브 활용 방법 알아보기